Spm Normal Distribution Table Pdf

Definition standard normal distribution.
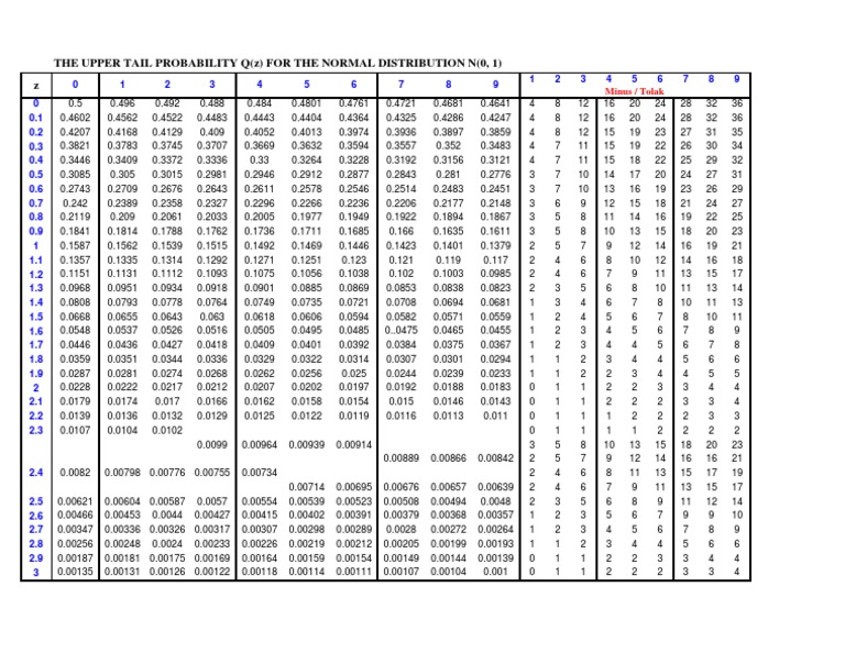
Spm normal distribution table pdf. Statistical tables 1 table a 1 cumulative standardized normal distribution a z is the integral of the standardized normal distribution from to z in other words the area under the curve to the left of z. Standard normal cumulative probability table cumulative probabilities for positive z values are shown in the following table. Normal distribution table spm free download as pdf file pdf text file txt or read online for free. Appendix tables table 1 cumulative distribution function hz of the standard normal distribution table f12 z 0 0 01 appendix tables table 1 cumulative distribution function hz of the standard normal distribution table f12 z 0 0 01 p a z 0 0 1844 we want to find the value of a so that the area between the green line at a to the big red line in the middle the y axis equals to 0.
Normal distribution with a mean of 100 and standard deviation of 20. Table values represent area to the left of the z score. T distribution table entries provide the solution to pr t tp p where t has a t distribution with the indicated degrees of freeom. History of standard normal distribution table the credit for the discovery origin and penning down the standard normal distribution can be attributed to the 16th century french mathematician abraham de moivre 26th may 1667 27th november 1754 who is well known for his de moivre s formula which links complex numbers and trigonometry.
The factor in this expression ensures that the total area under the curve is equal to one. The simplest case of a normal distribution is known as the standard normal distribution this is a special case when and and it is described by this probability density function. Df t 0 100 t 0 050 t 0 025 t 0 010 t 0 005 1 3 0777 6 3138 12 7062 31 8205 63 6567 2 1 8856 2 9200 4 3027 6 9646 9 9248. Standard normal distribution table 0 z z 00 01 02 03 04 05 06 07 08 09 0 0 0000 0040 0080 0120 0160 0199 0239 0279 0319 0359.
68 of the area is within one standard deviation 20 of the mean 100. The normal distributions shown in figures 1 and 2 are speciļ¬c examples of the general rule that 68 of the area of any normal distribution is within one standard deviation of the mean.