Blog
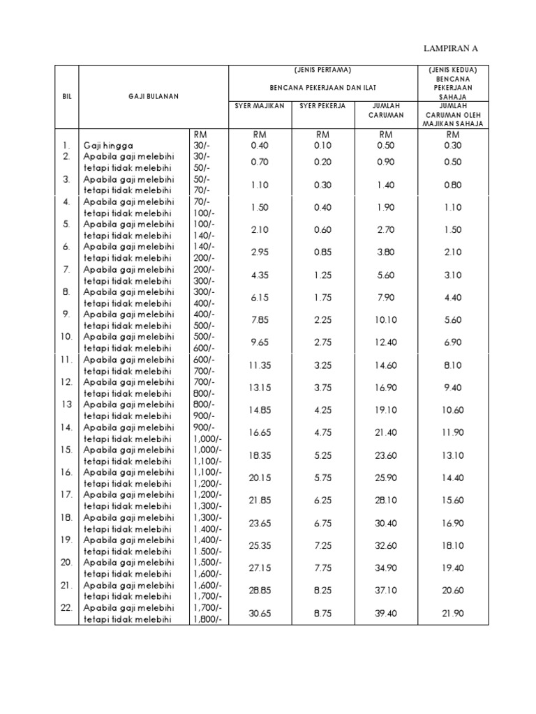
Socso Contribution Table 2018 Pdf
tong sampah kitar tong kitar semula kartun
the earth bukit jalil
timor abdullah jamaluddin abu bakar
terjemahan surah al falaq 1 5
termination of pregnancy in malaysia
tuliskan 11 negara anggota asean beserta ibukotanya masing masing
tolong menolong dalam islam adalah
tuliskan perbedaan antara iklan media cetak dan iklan media elektronik brainly
Malaysia Socso Rate Of Contibutions 2017
Socso Table 2019 For Payroll Malaysia Smart Touch Technology
Socso Table 2019 For Payroll Malaysia Smart Touch Technology
Socso Table 2019 For Payroll Malaysia Smart Touch Technology
Socso Table 2019 For Payroll Malaysia Smart Touch Technology
Malaysia Socso Rate Of Contibutions 2017
Malaysia Socso Rate Of Contibutions 2017
Memory 02 01 2016 03 01 2016
Jadual Caruman Socso
Socso Contribution Schedule Jadual Caruman Pdf
Memory 02 01 2016 03 01 2016
Https Www Perkeso Gov My Images Sistem Caruman How To Insert New Deduction Into Sistem Carumanperkeso Pdf
Kwsp Table 2012 Wage Employment
Sql Payroll New Updated Socso Table Was Pc Rental Computer Services Sdn Bhd Facebook
Socso Contribution Table Rates Jadual Caruman Socso Nbc Com My
Memory 02 01 2016 03 01 2016
Socso S Monthly Benefit Payment
Social Security Protection Schemes
Kadar Caruman Sip
Socso Contribution Table 2019
Source :
pinterest.com
Random Posts
Borang Permohonan Sijil Spm Hilang
Bidang Kuasa Mahkamah Persekutuan
Buah Buahan Sayur Dalam Bahasa Arab
Biodata Ringkas Tun Dr Mahathir
Bilangan Nombor Dalam Bahasa Arab 1 1000
Buah Buahan Dan Sayur Sayuran Banyak Mengandung
Beza Baharu Dan Baru
Bonus Penjawat Tarikh Bayaran Gaji 2020
Beyblade Tournament Malaysia 2019
Buah Hati In English
Belajar Bahasa Arab Asas
Beza Dewan Rakyat Dan Dewan Negara
Belajar Membaca Suku Kata
Buku Aktiviti Bahasa Melayu Tahun 1 Jilid 2 Jawapan
Berwuduk Lembaran Kerja Kem Bestari Solat
Beneficiary Meaning In Malay
British Colonization Of Malaysia
Best Business University In Malaysia
Blood Sugar Level Chart Malaysia
Buku Aktiviti Matematik Tahun 1 Jilid 2 Online