Blog
Senarai Nilai Murni Dalam Pdpc
surah al hajj ayat 27 beserta artinya
surah al hujurat ayat 10 13
surah al baqarah ayat 102 103
surah al kahfi ayat 1 10 arab
surah al hajj ayat 78 beserta artinya
surah al maidah ayat 67 beserta artinya
surah al kahfi ayat 1 10 bacaan rumi
surah al kahfi ayat 1 10 arab latin
Senarai Nilai Murni Dalam Rancangan Pengajaran Harian
47283032 Nilai Nilai Murni Dalam Pendidikan
Senarai Nilai Murni
Senarai Nilai Murni Dalam Pdpc
Penerapan Nilai Murni Dalam Pengajaran Dan Pembelajaran
In 2020 Contoh Nilai Murni Dalam Rph In 2020
47283032 Nilai Nilai Murni Dalam Pendidikan
Nilai Murni Dalam Rph
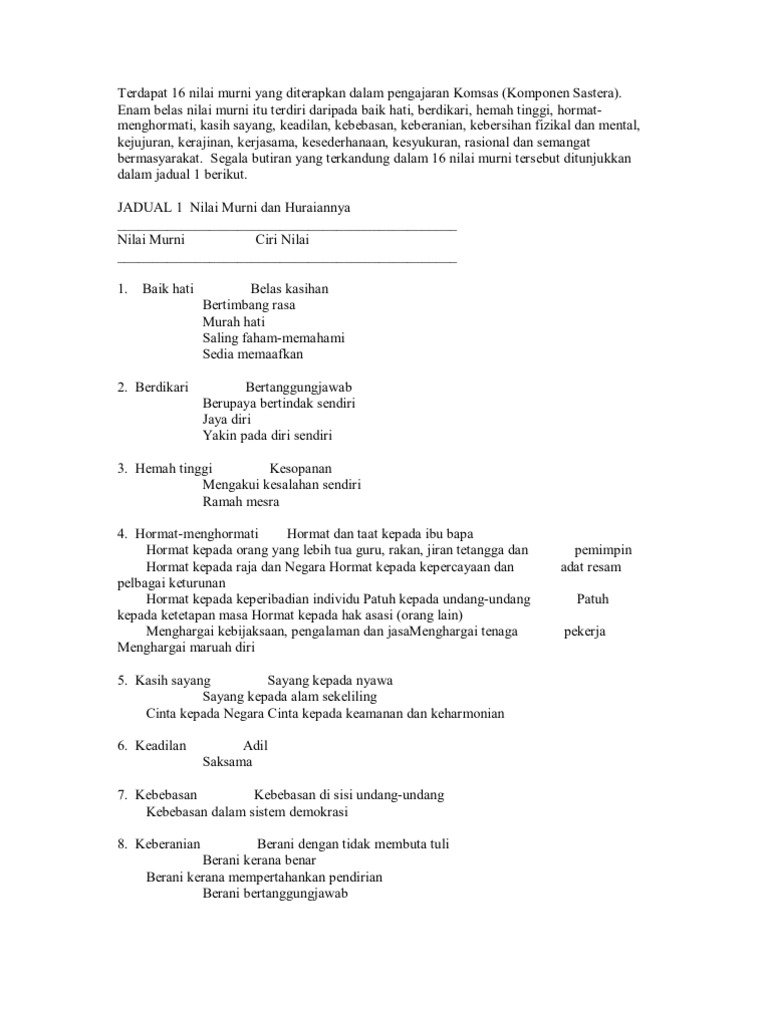
16 Nilai Murni Dalam Pengajaran Komsas
Bengkel Peningkatan Pdpc Skmpk 2019
Senarai Nilai Murni Dalam Subjek Bahasa Melayu
Nilai Murni Dalam Rph
Senarai Nilai Murni
Nilai Murni Dalam Rph
Contoh Teka Silang Kata Moral Yang Sangat Baik Untuk Murid Download Skoloh
Peta Konsep Pembelajaran Abad 21
Download Muat Turun Penerapan Pendidikan Sivik Prasekolah Sekolah Rendah Dan Menengah 2019 Munaz Bagus
Contoh Rph Sk
Nilai Murni Dalam Rph
Jurnal Pendidikan Serantau Jilid 4 Nombor 1 Jun Pdf Download Gratis
Source :
pinterest.com
Random Posts
Konsep Alam Melayu Tingkatan 2
Ketua Pengarah Pelajaran Malaysia 2017
Kesihatan Manusia Sains Tingkatan 2
Kesan Penubuhan Negeri Negeri Melayu Tidak Bersekutu
Kuiz Pengetahuan Am Isu Semasa
Khasiat Al Fatihah Untuk Kasih Sayang
Kisah Cinta Nabi Yusuf Dan Zulaikha
Keunikan Seni Bina Di Malaysia
Kisah Nabi Isa Disalib Menurut Islam
Kssr Semakan Jawapan Buku Aktiviti Bm Tahun 1 Jilid 2 2020
Klinik Pergigian Petaling Jaya
Krejcie And Morgan 1970 Table For Determining Sample Size
Kuala Lumpur Weather Radar
Konsep Peningkatan Tamadun Kertas 3
Kesatuan Guru Guru Melayu Malaysia Barat
Kisah Burung Hud Hud Di Alquran
Kisah Nabi Sulaiman Dan Jin Ifrit
Kisah Cinta Nabi Yusuf Dan Siti Zulaikha
Klinik Kita Pandan Jaya
Kia Grand Carnival Malaysia Forum